
Qwen3.5
The 397B native multimodal agent with 17B active params
Gallery









About
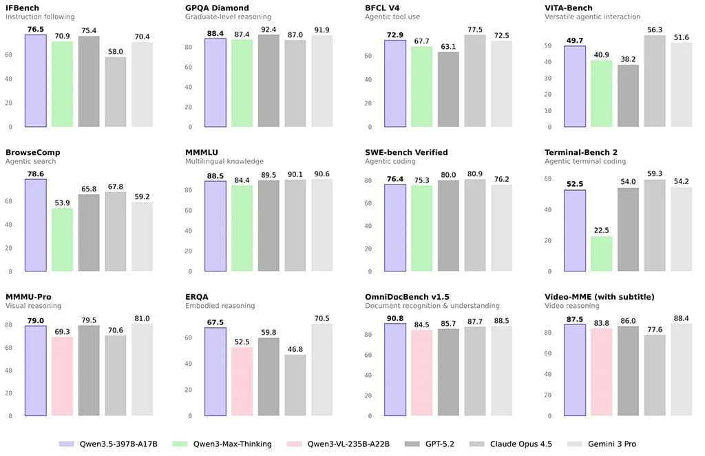
An open-weight, native vision-language model built for long-horizon agentic tasks. Its hybrid architecture (linear attention + MoE) delivers the capabilities of a 397B giant with the inference speed of a 17B model.
Discussion (0)
Log in to join the discussion
No comments yet. Be the first to share your thoughts!